astronauticsnow.com

astronauticsnow.com/fsm2022/fsm2022errata.html

Fundamentals of Space Missions


Problems with Solutions

Errata

Fundamentals of Space Missions      Fundamentals of Space Missions



Fundamentals of Space Missions: Problems with Solutions

by Mike Gruntman

fundamentals of space missions by mike gruntman

Interstellar Trail Press, 2022. ISBN 979-8985668742

Errata


error on page 272

Fundamentals of Space Misisons page 272

correction on page 272

Fundamentals of Space Misisons page 272


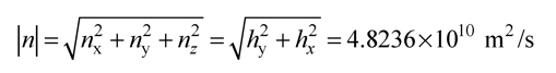
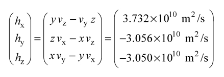
error on page 273

Fundamentals of Space Misisons page 273

correction on page 273

Fundamentals of Space Misisons page 273




books

Recommended science and engineering books on astronautics, rocketry, and space technology

books

Recommended missile defense books

books

Recommended books on history of astronautics, rocketry, and space


Make the World a Better Place

essential library on Israel history


rocket equation coffee mug for rocket scientists rocket equation mousepad for rocket scientists rocket equation T-shirt for rocket scientists missile defense baikonur launch site tyuratam missile range mouse pad baikonur launch site tyuratam missile range coffee mug yes-to-engineering sticker for rocket scientists

other rocket science items